Unit Peperiksaan Dan Penilaian IPGK Tawau Facebook
MINIT MESYUARAT PENGURUSANPEPERIKSAAN AWAMBIL12019 (1) - Membalik 
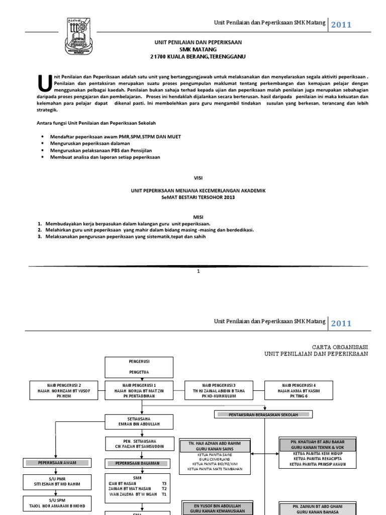
CARTA ORGANISASI Unit Peperiksaan PDF
UNIT PENILAIAN DAN PEPERIKSAAN SEKOLAH MENENGAH .3 Jisim dan berat 
Surat PC Pbs SPM 2019 PDF
Piagam Pelanggan
Unit Penilaian Dan Peperiksaan
KPM - Lembaga Peperiksaan
Piagam Pelanggan
Sektor Penilaian Dan Peperiksaan Pulau Pinang
Unit Penilaian Pentaksiran Dan Peperiksaan SKKM2: KEPUTUSAN UJIAN
CARTA ORGANISASI Unit Peperiksaan PDF
Tags:
archive